A new approach for sizing finger-type (multiple-pipe) slug catchers
H. R. Kalat Jari, P. Khomarloo and K. Assa, Sazeh Consultants, Tehran, Iran
A slug catcher, which is a part of the gas pipeline system, is essential equipment at the receiving terminal of a multiphase-flow processing plant. In the past, sizing of multiple-pipe slug catchers was based primarily on experience and rules of thumb. Not surprisingly, most of the existing slug catchers are oversized.
Multiple-pipe slug catchers are the obvious choice for long, large-diameter pipes, especially those that undergo pigging. They are cost effective and simple to construct and operate. This article presents a new, innovative approach for the prediction of the required dimensions of slug catcher fingers. The new approach has been used to design a multiple-pipe slug catcher for actual field conditions.
Slug catcher types. Slug catchers can be broadly classified into three following categories:
- Vessel type
- Stored-loop type
- Finger (multiple-pipe) type.
A vessel-type slug catcher is a simple two-phase separation vessel. The geometry of the vessel-type slug catcher could range from a simple knockout vessel to a more sophisticated layout.
A stored-loop-type slug catcher combines features of the vessel-type and finger-type slug catchers. The gas/liquid separation occurs in the vessel, while the liquid is stored in the stored-loop-shaped fingers. A possible hybrid design can be used, with a vessel designed for the vapor/liquid separation and finger pipe work as the storage medium, as illustrated in Fig. 1.
![]() |
|
Fig. 1. Stored-loop-type slug catcher. |
The counter-current flow of a gas and a liquid in the same conduit is possible due to gravity, which drives the fluid of higher density downward, while the lighter fluid flows upward. Consequently, for given geometry and fluids, the counter-current flow is only stable up to a maximum relative velocity, known as onset of flooding.
During this flow regime, called counter-current flow limitation, a part of the downward-flowing liquid is carried over by the gas and entrained in the opposite direction. The counter-current flow limitation is mainly characterized by:
- A sudden increase of the pressure drop over the conduit
- The generation of large waves and slugs
- The entrainment of liquid droplets by the gas flow.
A finger-type slug catcher uses pieces of large-diameter pipe instead of a conventional vessel to provide a buffer volume (Fig. 2). Since pipe can be more easily designed to withstand high pressures compared to a vessel, this design is better suited for large-diameter pipes.
![]() |
|
Fig. 2. Finger-type (multiple-pipe) slug catcher. |
If a pipe-finger slug catcher has been selected, then the number of standard large-diameter pipes to handle the vapor flow, as described above, is calculated—e.g., 36-in., 42-in., 46-in. and 48-in. pipes. However, the result must be a power of 2—i.e., 2, 4, 8, etc.—so that appropriate dead-end tees may be used to subdivide the flow as uniformly as possible. Furthermore, regarding space limitations and economic reasons, six-bore pipes may be used in the unit.
Slug flow. Most of the gas is located in large, bullet-shaped bubbles that have a diameter close to that of the pipe diameter, and that move upward. The bubbles are separated by slugs of continuous liquid that bridge the pipe and usually contain small gas bubbles. Between the bubbles and the pipe wall, liquid falls downward in the form of a thin film. When the flow is low, well-defined gas-liquid boundaries appear, and the liquid slug is free of bubbles. This case is often referred to as “plug flow.”
When the flow is faster, boundaries are not clearly discerned and froth is generated, and the term “slug flow” is used. Normal slug flow (or hydrodynamic slugging) is a pure hydraulic phenomenon that is usually obtained at medium flowrates for any horizontal pipe section; under these flow conditions, the stratified flow pattern is not stable, and an intermittent flow pattern appears that is characterized by permanent high-frequency oscillations between two flow patterns: stratified (gas pocket) and dispersed (liquid slug).
A stable maximum slug length, after some distance, can be established. The Brill correlation can be used to determine the mean slug length. The Brill correlation is based on Prudhoe Bay field results. Slug length is correlated as a function of the pipeline diameter, D, and the no-slip mixture velocity, Vm, as shown in Eq. 1:
Ln(Lslug) = –3.781 + 5.441 [Ln(D) + 3.673]0.5 + 0.059 Ln(Vm) (1)
Note: The Brill correlation always calculates the maximum slug length to be 4.7 times the mean.
As a consequence, the ratio of maximum to mean slug length varies with flow conditions. Near the stratified wavy boundary, the maximum slug length may be calculated at 4 to 5 times the mean. However, near the elongated bubble transition, maximum slug lengths are only calculated at 2 times the mean.
The Gregory and Scott correlation gives the trend of minimum stable slug length in a simplified form, as shown in Eq. 2:
(Lslug)min= 32 D (2)
The Gregory and Scott correlation was developed for carbon dioxide/water flow in a small-diameter pipe. The mean slug frequency is related to pipeline diameter, mixture velocity and superficial liquid velocity, as shown in Eq. 3:
(3)
where:
VSL = QL ÷ AS = Superficial liquid velocity, m/s.
For permanent increases of the maximum slug length of the pipeline outlet, severe slugging criteria must be determined.
In 1987, Fuchs developed a criterion based on the “release” of a severe slug, equivalent to the blowdown of the riser. Severe slugging is expected in a vertical riser. The basic form of the criterion for the acceleration of a gas bubble entering the riser base is shown in Eq. 4:
(4)
where:
P=Pressure at riser bottom, barg
L=Pipe length upstream of riser, m.
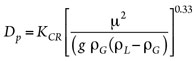
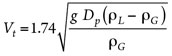
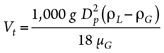
Slug-catcher sizing. The first step in sizing a slug catcher is to determine the terminal velocity and particle diameter. In reference to the Gas Processors and Suppliers Association’s Engineering Data Book, settling velocity can be described mathematically using the terminal or finite-settling velocity calculation, as shown in Eq. 5:
(5)
The drag coefficient is a function of the shape of the particle and the Reynolds number (NRe) of the flowing gas. The Reynolds number is defined as shown in Eq. 6:
(6)
When the expressions for “C’ vs. Re” are substituted in Eq. 5, three settling laws are obtained: Stokes’ law, the intermediate law and Newton’s law.
Stokes’ law. At low Reynolds numbers of less than 2, a linear relationship exists between the drag coefficient and the Reynolds number. Stokes’ law applies in this case, and the calculation from Eq. 5 can be expressed as shown in Eqs. 7 and 8:
(7)
(8)
where:
KCR = Proportionality constant, dimensionless.
The droplet diameter corresponding to a Reynolds number of 2 can be found using a value of 0.025 for KCR. By inspection of the particle Reynolds number equation shown in Eq. 6, it can be seen that Stokes’ law is typically applicable for small droplet sizes and/or relatively high-viscosity liquid phases.
Intermediate law. For Reynolds numbers between 2 and 500, the intermediate law applies, and the terminal settling law can be expressed as shown in Eq. 9:
(9)
The droplet diameter corresponding to a Reynolds number of 500 can be found using a value of 0.334 for KCR in Eq. 8. The intermediate law is usually valid for many of the gas-liquid and liquid-liquid droplet settling applications encountered in the gas business.
Newton’s law. Applicable for a Reynolds range of approximately 500 to 200,000, Newton’s law finds applicability mainly for the separation of large droplets or particles from a gas phase. The limiting drag coefficient, at approximately C’ = 0.44 in Eq. 5, produces the Newton’s law equation as shown in Eq. 10:
(10)
For the Newton’s law region, the upper limit to the Reynolds number is 200,000, and KCR = 18.13 in Eq. 8.
Determination of gas-liquid separation section length. The function of separation at high flow velocities in a multi-phase slug catcher is assigned to the horizontal parts of the primary bottles before the gas riser; therefore, these parts of the primary bottles required for liquid separation will be longer.
In the hindered settling (dispersed-phase concentration), the terminal velocity is reduced due to the increase in the apparent viscosity and density of the suspension. This effect results in less than a 1% reduction in the terminal velocity for particle volumetric concentrations below 0.1%. For a spherical shape suspension, the terminal settling velocity in a hindered area can be calculated as shown in Eq. 11:
(Vt)hindered = Vt (1 – Vd)n(11)
where n = the index, n is a function of Re (based on the terminal velocity of a free-falling single sphere) and is given in Fig. 3. In Stokes’ law region, n = 4.65; in the Newton’s law region, n = 2.33.
![]() |
|
Fig. 3. Values of the exponent n for use in Eq. 11. |
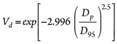
The estimation of drop size can be useful in determining separation techniques, scaling equipment and piping sizing. For engineering calculations, the following form of the Rosin-Ramler equation for drop size estimation in turbulent pipe flow is shown in Eq. 12:
(12)
where:
Vd = Cumulative volume fraction of the dispersed phase with a diameter greater than Dp
D95 = The drop diameter, such that 95% of the volume of drops is smaller than D95, it may be estimated by Eq. 13:
(13)
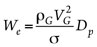
where We is based on the particle diameter Dp and is defined by Eq. 14:
(14)
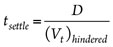
Settling time (tsettles) is a function of the droplet diameter for several values of Vd, as shown in Eq. 15:
(15)
where:
D = Bottle diameter (travel droplet inside bottle, m).
Therefore, the length of the primary bottles between the inlet and the first gas outlet riser is determined by the desired settling and separation efficiency, as shown in Eq. 16:
(16)
(17)
where:
Cdist. = Non-uniformity stream distribution coefficient in the bottles, equal to 1.2.1, 2
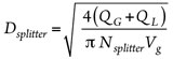
Furthermore, the inlet splitter diameter is determined by Eq. 18:
(18)
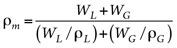
Determination of intermediate section length. The intermediate section is located between the gas-liquid separation section and the slug-receiving section. This section should be designed based on the prohibition of liquid entry to the gas riser. The maximum liquid level mark in the primary bottle for both the single-slope and the dual-slope concept should be at the intersection of the center line of the lowest gas riser (if there are two risers per bottle), at the lower inner wall surface of the bottle.
![]() |
|
Fig. 4. The location of the gas riser distance. |
For the dual-slope concept, the gas riser was located at a distance of Db/tan θ from the intersection of the two different slopes, where θ is the slope angle of the steeper bottle (Fig. 4). For the purpose of determining the maximum capacity of the slug catcher, the volume in the partly filled part of the bottle can be assumed to be:
where θ is the slope of the bottle under the riser. This calculation shown in Eq. 19 is valid for both the single-slope and dual-slope concepts:
(19)
where:
θ = bottle angle with gas riser (2.5% to approximately 5%).
Determination of slug receiving section length. To determine the slug receiving section length, Eqs. 20 and 21 can be used:
Volbuffer = QL tres (20)
(21)
where:
θ = bottle angle in the slug receiving section
(1% to approximately 1.5%).
Volholdup = Volslug + Volbuffer (22)
Therefore, Eq. 23 can be used to determine the length of the slug-receiving section:
(23)
where:
Cf = Overdesign coefficient factor for slug receiving section (equal to 1.15).
Determination of secondary bottle numbers. Due to space limitations in the slug catcher area, bottle length should be reduced and several secondary bottles should be installed parallel with the primary bottles. Eq. 24 is used for calculation of the number of secondary bottles (if needed) in the slug catcher:
(24)
where:
Ltot=Slug catcher total length, m
Lpermit=Recommendation of slug catcher length with respect to plot space, m.
Determination of gas riser sizing. The gas riser should be sized to prevent liquid carryover at the highest flowrate. In the approach suggested here, the riser must be sized to prevent carryover during pig arrivals when the slug catcher may be nearly full.
Load factor is an important parameter for gas riser sizing. Based on process criteria, the maximum value for load factor parameter (ξ) is 0.5 m/sec, as shown in Eqs. 25 and 26:
(25)
(26)
Process assumptions for the calculation of superficial velocity include:
1. uring normal operation, each bottle receives more than 20% of the distribution rate of 120/NPB
2. evere slug formation occurs based on pigging operation.
Eq. 27 can be used to calculate superficial velocity:
(27)
Then, Eq. 28 can be used to determine the bottle height from the ground level:
Hs = (Lf + Ls) sinθs + Ht(28)
Ht = (Lt) sinθt
where:
Sin θs = Separation section bottle slope
Sin θt = Slug receiving section bottle slope.
Eq. 29 can be used to determine bottle thickness:
(29)
where:
E=Longitudinal weld joint parameter (E = 1 for seamless; E = 0.85 for electrical resistance welded)
Y=Steel coefficient (Y = 0.4 for T ≥ 480°C; Y = 0.5 for T = 510°C; Y = 0.7 for T ≥ 540°C)
Фe=External diameter, mm
C=Allowable corrosion value, mm.
Eq. 30 can be used to determine liquid-liquid bottle sizing:
(30)
where:
tres = Residence time in the liquid bottle—8 min.
Table 1 provides values for determining the liquid level in the liquid-liquid bottle.
![]() |
Case study: Slug catcher sizing in South Pars phases 22, 23 and 24. The South Pars onshore complex is located on the Persian Gulf in the Akhtar field, approximately 230 km southeast of Bushehr, Iran. The total capacity of phases 22, 23 and 24 of the onshore facility is 2,000 MMscfd of reservoir fluid.
From each main platform, a 32-in. subsea pipeline is planned to transfer the offshore gas production to the onshore slug catcher facilities. Specifications for these facilities are presented in Table 2.
![]() |
Inlet header sizing criteria. For preliminary mixed-phase fluid line size calculations, the average density method will be used while considering the following project criteria, and as shown in Eq. 31:
- Apparent fluid velocity, Vm, in the inlet pipeline = 7 m/s–10 m/s
- ρmVm2 : 5,000 Pa–6,000 Pa
(31)
The apparent mean fluid velocity, Vm, can be expressed as shown in Eq. 32:
(32)
Table 3 shows the slug catcher sizing results in the South Pars facility phases 22, 23 and 24.
![]() |
![]() |
Takeaway. Multiple-pipe slug catchers are frequently used in the industry due to the ease of manipulation of the fingers and their ability to handle large volumes of slugs, which is the case for all of the fields under investigation.
One of the advantages of finger-type slug catchers is that they are classified as pipework for the purposes of design and inspection, with less onerous requirements. However, this classification may be lost and the system reevaluated as a vessel if the design becomes too complex, particularly if internals are added.
Even if slug flow does not occur in a multiphase pipeline operating under normal conditions, it should be remembered that startup, upset, low-flow and shutdown conditions may result in the productions of slugs, which must be addressed at the design stage.
Several parameters contribute to the design of the slug catcher. The diameter of the pipeline should be designed at the minimal diameter size first, and then increased to maintain a stratified flow at the inlet of the buffer. The liquid accumulation volume, along with the length of the fingers and their inclination, are essential factors for determining an accurate and optimal size and design for the slug catcher.
The calculations in this article have the potential to recommend a larger-size slug catcher, which may be considered as a safety margin. GP
Nomenclature
As Pipe cross-section, m2
C’ Drag coefficient of particle
D Diameter, m
g Gravity constant, m/s2
ho Average liquid fraction holdup
Hs Separation section bottle height, m
Ht Slug receiving section bottle height, m
L Length, m
Lf Gas/liquid separation length, m
Ls Intermediate section length, m
Lt Slug collector section length, m
N Number of bottles or splitters
P Pressure, barg
Q Volume flow rate, m3/s
S Allowable tension, bar
t Time, s
th Thickness, mm
V Velocity, m/s
Vt Terminal velocity, m/s
W Total mass flowrate, kg/hr
θ Bottle angle
µ Viscosity, cP
ν Mean slug frequency, s-1
ξ Load factor, m/s
ρ Density, kg/m3
σ Surface tension, N/m
b Bottle
d Design
G Gas
HL Heavy liquid
L Liquid
LL Light liquid
m Mean
p Particle
pb Primary bottle
rb Risers per bottles
res Residence
sb Secondary bottle
SG Superficial gas
SL Superficial liquid
Acknowledgment
The authors would like to thank the board of directors of Sazeh Engineering Consultants Co. for its support.
Notes
1Note 1: Maximum gas velocity in each bottle is 1 m/s. During normal operation, each bottle receives more than 20% of the distribution rate.
2Note 2: Maximum gas velocity in each splitter is 2 m/s.
![]() |
Hamid Reza Kalat Jari is head of the process department at Sazeh Consultants in Tehran, Iran. Mr. Kalat Jari has worked at the Sazeh process department for 13 years. Previously, he worked for Total Fina Elf and National Iranian Gas Co.
![]() |
Pendar Khomarloo is a process/mechanical division director for Sazeh Consultants. Mrs. Khomarloo has worked at Sazeh Engineering Consultants for 25 years.
![]() |
Kamal-aldin Assa is the process lead engineer in the process department of Sazeh Consultants. Mr. Assa has worked at the Sazeh process department for five years. Previously, he worked for Bina Engineering Co.












Comments